{{ 'fb_in_app_browser_popup.desc' | translate }} {{ 'fb_in_app_browser_popup.copy_link' | translate }}
{{ 'in_app_browser_popup.desc' | translate }}
優惠碼<go300> $3,000折$300 優惠碼<go88> $5,000享88折
[定期購自由配任選85折] 定期出貨,免綁約!長期喝更優惠,立即了解活動>>
{{ childProduct.title_translations | translateModel }}
{{ getChildVariationShorthand(childProduct.child_variation) }}
{{ getSelectedItemDetail(selectedChildProduct, item).childProductName }} x {{ selectedChildProduct.quantity || 1 }}
{{ getSelectedItemDetail(selectedChildProduct, item).childVariationName }}
你是否也曾想過:「蛋白質不就是多吃肉嗎?」其實,吃對蛋白質的種類與時間,比吃多更重要。
蛋白質不僅是肌肉的原料,更是我們人體細胞、組織、器官的主要構成物質。
根據每日飲食指南建議,不同族群所需【每日蛋白質】總克數均不同。
蛋白質在體內的任務不只為肌肉合成來源之一,它還負責:
• 組織修復
• 幫助生長發育
• 增強體力活力
對於現代人來說,攝取充足且優質的蛋白質能提升精力與新陳代謝,是「精準營養」的核心之一。
剛剛好的蛋白質量,需要有個重要前提→我們的熱量是否足夠?
在充足的熱量下,身體才會將膳食蛋白用作肌肉合成幫助和肌肉生長,所以在追求足夠蛋白質的同時也要記得吃足自己所需的每日熱量哦!
👇每日熱量需求=不同活動量 × 不同BMI
每天 活動量 | 所需熱量 | ||
BMI過輕者 | BMI正常 | BMI過重或肥胖 | |
輕度工作 | 35大卡×目前體重(kg) | 30大卡×目前體重(kg) | 20~25大卡×目前體重(kg) |
中度工作 | 40大卡×目前體重(kg) | 35大卡×目前體重(kg) | 30大卡×目前體重(kg) |
重度工作 | 45大卡×目前體重(kg) | 40大卡×目前體重(kg) | 35大卡×目前體重(kg) |
※活動強度定義:
輕度:大部分從事靜態或坐著的工作,例如:家庭主婦、坐辦公室的上班族、銷售員。
中度:從事機械操作、接待或家事等站立活動較多的工作,例如:保母、護士、服務生。
重度:從事農耕、漁業、建築等的重度使用體力之工作,例如:運動員、搬家工。
👇依年齡與族群建議的每日蛋白質攝取量
一般族群 | 蛋白質需求量(天) | |
男性 | 女性 | |
10–12歲 | 55g (1.4g/kg) | 50g (1.3 g/kg) |
13–15 歲 | 70g (1.3g/kg) | 60g (1.2 g/kg) |
19歲以上 | 70g | 60g |
特殊族群 | ||
懷孕期 | 原本需求+10g | |
哺乳期 | 原本需求+15g | |
多數規律運動訓練者(阻力、耐力) | 1.4 ~ 2.0g/kg | |
保持瘦體組織 | 1.2 ~ 1.6g/kg | |
高風險熟齡族(搭配阻力訓練) | 1~1.5g/kg | |
常規評估蛋白質品質會使用 PDCAAS( Protein Digestibility Corrected Amino Acid Scor) 蛋白質消化率校正胺基酸評分,如今新增一項 DIAAS(可消化必需胺基酸分數)(Digestible Indispensable Amino Acid Score)。
※解釋:DIAAS的評分法是聯合國糧食及農業組織(Food and Agriculture Organization of the United Nations ,FAO) 於2013年提出,此評估法 更加詳細計算實際利用率使更貼近人體需求。
★DIAAS 計算公式:
DIAAS % = 100 x [(1 g 膳食蛋白質中可消化膳食必需胺基酸的毫克)/(1g 參考蛋白質中相同膳食必需胺基酸的毫克)]。
黃金時機攝取法=為達「最佳營養吸收」,《國際運動營養學會雜誌》於2017、2018年提出
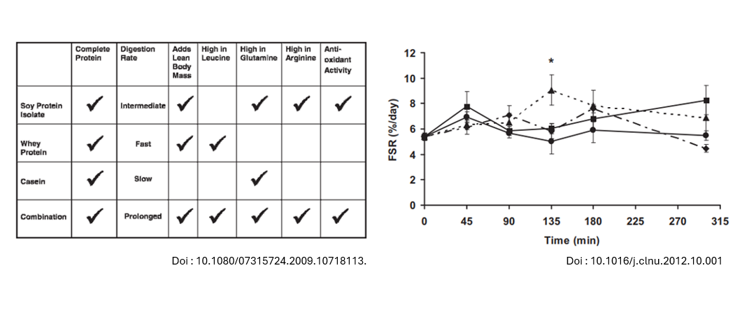
聰明選擇:多元混合型蛋白質
研究顯示(Clinical Nutrition, 2013),乳清蛋白+大豆+酪蛋白 的混合蛋白能延長蛋白質合成時間、提升吸收效率,對於維持健康更有幫助。
💡 如市售的「三重優蛋白飲品」就是依此原理設計,幫助你在忙碌中也能快速補給。

左圖符號✓表示不同蛋白的消化吸收快慢:
初期→乳清蛋白,快速幫助組織修復。
中期→大豆蛋白,屬於可溶性蛋白其消化吸收介於乳清和酪蛋白之間可幫助肌肉合成。
後期→酪蛋白,遇酸 會凝結所以吸收較緩但合成持續時間最長,更能有效做肌肉生長。
右圖符號▲表示(乳清+酪蛋白+大豆)的FSR 在135分鐘達最高峰,且顯著高於乳清(●),代表此組合的蛋白質比單一來源的更可用於肌肉生長。
FSR值(Fractional Synthetic Rate)越高的蛋白質=表示越有助於組織的修復。
• 早餐:無糖豆漿380ml + 茶葉蛋1顆 + 鮪魚三明治1份(早餐蛋白質約25–30公克)
• 午餐:(便當主菜)含豆魚蛋類3~4份(午餐蛋白質約25–30公克)
• 午點:市售商業配方(快速補給),如三重優蛋白(點心蛋白質約13-16公克/蛋白質)
下午時刻想提神,幫助開會提振精神,這時可以來點~有添加日本專利必需胺基酸的機能保健飲品「3重優蛋白」,能快速補充能量,讓活力展現! 讓點心不再罪惡的好選擇~
• 晚餐:糙米飯+主菜(魯、烤、涼拌的豆魚蛋肉類)+蔬菜2-3樣(晚餐蛋白質約25-35公克)
※每日總攝取量:約 88~121(公克/蛋白質),以60公斤成人來說平均1.5(公克/公斤體重),平均分配於每餐0.4-0.6(公克/公斤體重),可以達最高蛋白質合成量 !
【營養師小叮嚀】
精準營養不在多,而在剛剛好。
均衡攝取優質蛋白質,讓身體維持體力與活力。
從今天起,用「剛剛好的蛋白質」照顧自己,讓每一餐都成為健康的投資💪。
參考資料
衛生福利部國民健康署-每日飲食指南手冊
International Society of Sports Nutrition Position Stand: protein and exercise., J Int Soc Sports Nutr. 2017 Jun 20;14:20. doi: 10.1186/s12970-017-0177-8
The role of protein in weight loss and maintenance., Am J Clin Nutr . 2015 Jun;101(6):1320S-1329S. doi: 10.3945/ajcn.114.084038. Epub 2015 Apr 29.
Dietary protein quality evaluation in human nutrition. Report of an FAQ Expert Consultation., FAO Food Nutr Pap. 2013:92:1-66.
How much protein can the body use in a single meal for muscle-building? Implications for daily protein distribution., J Int Soc Sports Nutr. 2018 Feb 27;15:10. doi: 10.1186/s12970-018-0215-1
International Society of Sports Nutrition position stand: Nutrient timing., J Int Soc Sports Nutr. 2008 Oct 3;5:17. doi: 10.1186/1550-2783-5-17
<免責聲明>:本文章僅供參考,並不是專業的醫療建議,如果你有任何疑慮或特殊的身體狀況,請在食用補充品或補充劑或改變飲食習慣前諮詢專業醫療人員。
________________________________________
本文作者:
張鈺碒——營養師界的美味生活推手!
國立台灣海洋大學研究所畢業,擁有營養師與食品技師雙證照,具備減重中心與長照機構營養實務經驗,並參與多項減重與保健食品研發。專注將專業營養知識落實於日常,從體重管理、銀髮營養到產品設計,致力打造「吃得懂、做得到」的健康方案。
我的理念很簡單:讓營養不只是知識,而是生活中溫柔而持久的陪伴。